几种危险路段护栏设计探讨
浏览次数:0
发布时间:2015-01-23 12:00:51
摘要:对几种危险路段的事故危险特征和设计缺陷的分析,重点介绍了极限最小半径曲线路段、隧道洞口、长直线末端接一般最小半径曲线路段、连续长陡下坡路段护栏设计。通过建立计算模型等模式深入探讨护栏设计方法及技术解决措施,旨在设计出满足道路使用需求的护栏,充分保护道路使用者的安全。
JTG /T D81一2006《公路交通安全设施设计细则》(以下简称“细则”)根据事故严重度指标规定B,A(Am) ,SB(SBm) ,SA(SAm) ,SS五种防撞等级护栏的适用条件,提出因公路线形、运行速度、填土高度、交通量、车型构成等因素易造成更严重碰撞后果的路段,应在表4. 2. 1一1基础上提高防撞等级。护栏防撞等级与上述安全因素存在哪些关系?如何根据这些因素科学合理地确定护栏防撞等缈《细则》中没有明确,需要设计者根据这些因素做深入细致的分析和科学合理的判断,设计出满足道路使用需求的护栏。
目前护栏设计大多依据很田则》4. 2护栏的设置原则结合设计经验确定,没有做深入细致的针对性分析,主观经验占据主导地位,缺乏一定的科学依据,设计出来的护栏要么功能不足、要么功能过剩,没有充分发挥护栏应有的作用,造成设计缺陷或浪费,不符合适用、安全、经济的原则。
基于上述考虑,本文借助于以下几种经典危险路段的事故危险特征和设计缺陷的分析,通过建立计算模型等模式深入探讨护栏设计方法及技术解决措施,目的是使护栏功能设计更具针对性,充分发挥护栏优势,最大限速保护道路使用者的安全。
1、极限最小半径曲线路段护栏设计:
这种路段护栏设计方案通常只是对护栏立柱进行加密设置,很少做深入细致的分析。在恶劣天气、或驾驶意外条件下这种设计方案可能存在护栏防护能力不足的缺陷。车辆进入急弯路段,司机因对路况估计不足或判断失误,车辆可能发生因转向不足或转向过度而失控,车辆冲出外侧或内侧护栏酿成重大事故。在雨、雪、雾等不利气象条件下,这种情况表现尤为严重。
失控车辆事故一般发生在车辆进入曲线的初始路段,事故的影响区域集中在:顺行车方向自曲线起点开始至内侧护栏起点处的切线与外侧护栏交点之间长度的2倍,一般保守认为曲线起点至曲线中点之间的路段。车辆在曲线中点以后路段很少发生事故,后段护栏一般不需要做特殊处理。
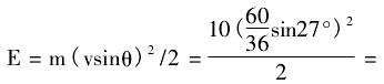
与直线路段护栏比较,急弯路段内的失控车辆与护栏的碰撞角要远大于《细则》规定的200,以碰撞角0=25°为例,根据动能定理E = m (vsin0) 2 /2,其碰撞能量是0=25°碰撞能量的1. s3倍。假如直线段护栏采用碰撞能量为160kJ的A级钢护拦,则弯道内护栏需要采用碰撞能量为160 x 1. 53=240kJ的护栏,这个能量等级远大于A级护栏的碰撞能量,采用立柱加密立柱方案显然存在护栏防护能力不足缺陷,失控车辆可能冲出路外。
上述比较是假定碰撞速度不变的情况下所得出的结论。在护栏实际设计过程中,应结合曲线路段技术指标、车辆运行特征、通过设置必要的限制速度,科学合理确定护栏碰撞能量,选择合适的护栏防撞等级及护栏结构型式,保证护栏设置安全、经济、合理、有效。
例如杭瑞高速公路大兴至思南段主线设计速度100km /h,进入某极限最小半径曲线路段限制速度为80km /h,根据我国护栏碰撞速度取值规定,取碰撞速度60km/h,根据平曲线要素该路段碰撞角度增加70,该路段车型构成以10t中型车为主,则该路段护栏防撞等级
286kJ。因路侧危险程度较高,顺行车方向曲线起点至曲线中部路段护栏采用SB级钢护栏。
2、隧道洞口护栏设计:
横断面宽度突变的隧道入口处存在较大的安全隐患己形成共识,为提高隧道主动安全水平,隧道入洞口处设置隧道标志、隧道开灯提醒标志、限制速度标志、爆闪警示灯、彩色薄层铺装、震动标线以及隧道前设置可变情报板等各种主动引导措施。除主动引导外,隧道洞口的被动防护措施处理应引起加倍重视,特别是洞口护栏与检修道的衔接过渡处理设计。
洞口护栏兼具视线诱导作用,洞口护栏的线形过渡设计应安全、连续、舒缓,避免突兀、急侃《细则》图C. 15推荐的16m抛物线渐变长度过于短促,对行车视觉诱导不利。现场施工效果显示护栏渐变长度过短,显得过于急促。
参照国标GB5768. 3 - 2009 (G首路交通标志和标线》6. 2条,建议隧道洞口护栏渐变处理按照车道宽度渐变标线处理方式比较合理,即隧道洞口护栏过渡长度按下式计算:
L=0.625xVxW(V>60km/h)
其中:L一护栏渐变段长度(单位m) ;
V一设计速度(单位km/h);
W一护栏横向变化宽度(单位m)。
当条件受限时,横向变化宽度范围内的护栏渐变率应不大于1 /20 0
靠近行车道的检修道迎车端对行车安全威肋、最大,车辆一旦与之刮碰,将酿成严重后果。因此与检修道衔接的钢护栏端部设计建议采用如下设计原则:
(1)取消检修道端部的建筑限界C值限制,将路侧钢护栏逐渐横向渐变延伸进入隧道内与检修道端部搭接设计,不得断开;
(2)做好钢护拦搭接端的护栏刚柔过渡设计,并设置摩擦梁,防止检修道对车轮的绊阻伤害。如检修道与护栏高度不一致,在检修道端部设置高度渐变翼墙过渡段,然后再与路侧钢护栏搭接。
桥梁接隧道的混凝土护栏渐变处理较为复杂,受桥梁结构限制,桥梁路侧防撞墙难以按照上述原则实施。可考虑自隧道检修道端部开始单独设置一段抛物线形混凝土护栏,逐渐外展延伸至洞外桥梁防撞墙处,护栏渐变过渡率不大于1 /20,如检修道与护栏高度不一致,需要设置高度渐变翼墙过渡段。
受隧道“洞壁效应、白洞效应”的心理影响以及不利气象条件影响,司机可能在入洞口前为应对突发情况而采取紧急处置措施。为防止车辆在洞口处冲出护栏而撞向洞门端墙,隧道进洞口端护栏防撞等级应结合运行速度、线形、车型构成等,按照不低于“发生单车特大事故”级别进行设计控制,设置长度不短于一个停车视距的长度,并符合《细则》表4. 2. 1一2规定的护栏最小设置长度。
3、长直线末端接一般最小半径曲线路段护栏设计:
长直线末端接一般最小半径曲线路段是事故多发区。长直线路段驾驶行为比较单调,司机容易疲劳驾驶,行车过程中容易出现放松警惕、麻痹大意、车辆无意间超速、对停车视距和跟车距离估计不足、反应迟钝等现象,进入曲线路段经常发生车辆侧滑失控冲出路外等事故,雪雾天事故更是频发。
对长直线路段界定标准应按照下列要求执行:根据《公路路线设计细则(总校审稿)》条文说明8. 8. 2 (2)论述:“··…参考国外有关直线长度的规定,并根据驾驶者在高速公路直线上的驾驶经验,认为在5 min之内一般不会出现疲劳驾驶问题……建议直线长度按照6km控制。”除此之外《新理念公路设计指南(2005版)》认为当平曲线半径大于7000 m时,视觉效果近乎直线。故平曲线半径大于7000 m路段视为直线路段。
长直线末端接一般最小半径曲线路段的护栏设计可参考“极限最小半径曲线路段护栏设计”的方法执行。有所不同是,因存在超速、疲劳驾驶、反应迟钝等现象,为接近车辆实际运行情况,碰撞速度宜按照公式(设计速度+20km/h)或运行速度x0.8来计算碰撞能量。
4、连续长陡下坡路段护栏设计:
山区高速公路连续长陡下坡路段是大型、重型车辆发生恶性事故的高发路段,多因长时间刹车制动失灵、或恶劣气象条件发生车辆滑溜失控,发生冲出护栏外酿成单车特大或二次重、特大事故,连续长陡下坡路段护栏设置应结合事故发生特点进行有针对性设计。山区高速公路连续长陡下坡路段界定标准详见参考文献【2】9. 2. 8条。
连续长陡下坡路段车辆一旦失速,司机因恐惧心理会选择通过车辆刮蹭护栏来达到吸能减速停车的目的,因此对护栏的强度、变形要求较高,且不能存在任何绊阻作用。通常长陡下坡路段事故大部分发生在进入曲线路段,因失速车辆速度超快(远大于设计车速),动能巨大,即使一般的曲线半径,车辆也容易发生侧滑失控而冲出或翻越护栏,因此要求曲线路段护栏除了满足必要的强度、变形要求外,还应具有优良的碰撞导向性能来改变车辆冲击能量方向,以此来缓解护栏防护系统压力,阻止车辆冲出护栏,使车辆最终寻求在避险车道内实现安全撞停。
通过上述分析,连续长陡下坡路段直线段护栏宜选择混凝土护栏或不低于SB级波形梁钢护栏,防撞等级应按照路段内大型车碰撞能量计算确定。波形梁钢护栏考虑到变形、绊阻要求,护栏立柱应加密设置,且不能设置突出护栏面的凸起式路缘石,防止失控车辆因绊阻、爆胎而发生甩尾、翻车等事故。
曲线路段宜优先采用转子护栏,防撞等级同长陡下坡直线路段护栏设计。转子护栏是由传统金属梁柱式护栏衍生出来的一种新型防护系统,通过在防撞横梁上加装高分子转动球来提高护栏系统的导向性能,同时将一部分冲击能量转化为转子动能来缓解护栏碰撞压力。
此外,曲线路段护栏高度设计应特别考虑曲线路段失速状态(实质上是超速状态)车辆的质量离心力引起的侧倾力矩增加,以及适当考虑重载交通路段超载、超高类大型车辆因质心高度变化引起的质量离心力增加,从而引起侧倾力矩的增加,护栏高度应能阻止这类车辆在曲线路段倾翻出护栏外。
5、结束语:
综上所述可以看出,护栏设计应结合道路使用条件,通过对危险路段的事故危害特征和道路使用者需求进行分析,做到有针对性设计,充分发挥护栏功能和作用,最大限度保证道路使用者的生命与财产安全。
上一 :怎样围栏养殖无公害河蟹
下一 :上海某小学砌体教学楼抗震加固设计



















